Das war Invescos Thanksgiving Investment Forum & Fotos!
Der US-Vermögensverwalter Invesco lud zahlreiche Profianleger zu Thanksgiving zum hauseigenen „Thanksgiving Investment Forum“ und sorgte mit mehreren Vorträgen für ein willkommenes Informations-Update. „Institutional Money“ war für Sie vor Ort.
Das Invesco Thanksgiving Investment Forum in Wien feierte jüngst mit der zehnten Auflage ein kleines Jubiläum. Die Veranstaltung bot auch dieses Mal ein interessantes Vortragsangebot. Dieses wurde dankend von zahlreichen Profianlegern angenommen, wie der große Besucherandrang zeigte.
Neben zwei Vorträgen zu den Aussichten von Nebenwerten und über die neuesten Entwicklungen bei Künstlicher Intelligenz (KI), die Sie in obiger Fotostrecke finden, stand ein weiterer Highlight gleich zu Beginn dieser gelungenen Veranstaltung auf dem Programm: Ein umfangreicher Marktausblick von Invescos Paul Jackson, Global Head of Asset Allocation, auf das bevorstehende, neue Anlagejahr 2026. Diesen titulierte Jackson mit „A barbell approach to risk“. Genannter „Barbell-Ansatz“ könnte nächstes Jahr empfehlenswert sein, wenn man den Blick auf das noch laufende, sehr gute Anlagejahr lenkt, in dem Investoren bereits sehr hohe Erwartungen in den Kursen eingepreist haben.
Redaktioneller Hinweis: Alle Highlights können Sie "visualisiert" nachfolgender, exklusiver Fotogalerie entnehmen:
Paul Jackson: Überraschend gutes Jahr
Obwohl die Börsenampeln die meiste Zeit des Jahres auf grün standen und die meisten Aktienindizes von Rekord zu Rekord eilten, performte Year-to-Date per Stichtag Ende Oktober 2025 das „Krisenmetall“ Gold mit knapp 65 Prozent am besten. Erst auf Platz zwei kamen Aktien (MSCI World) mit rund 25 Prozent Rendite, gefolgt von REITS mit rund 16 Prozent. Das Segment Rohstoffe kam nur auf rund neun Prozent Wertzuwachs, was an der Preisschwäche von Öl und von vielen Agrarrohstoffen lag. Unterm Strich lagen dieses Jahr alle wichtigen Assetklassen im Plus und sorgten damit für eine seltene, statistische Ausnahme. Denn in der Regel folgen starken Jahren oft schwächere Börsenphasen….
Positives und Negatives
Jackson nannte in Folge ein paar Argumente für fallende, aber auch für steigende Wertpapierkurse. Positive Effekte könnte ein Urteil des US-Höchstgerichts haben, das Trumps Zölle als illegal erklärt. In einem anderen Szenario könnten die lukrierten Zolleinnahmen großzügige 2000-US-Dollar-Schecks an die US-Bürger finanzieren und damit die Kaufkraft und die US-Wirtschaft ankurbeln. Hoffnung geben auch jene Produktivitätsfortschritte, die der breiteren Anwendung der Künstlichen Intelligenz (KI) zu verdanken sind.
Einige Faktoren könnten sich Jackson zufolge auch verschlechtern und Druck auf die Kurse ausüben: So könnte sich das Wirtschaftswachstum eintrüben, die Inflation wieder steigen oder die historisch hohe Konzentration von Technologieaktien in den Indizes (über fallende Kurse) ihr Ende finden. Höhere Staatsschulden könnten des Weiteren die langfristigen Zinsen nach oben treiben und damit viele Assetklassen belasten.
Bewertungen unter der Lupe
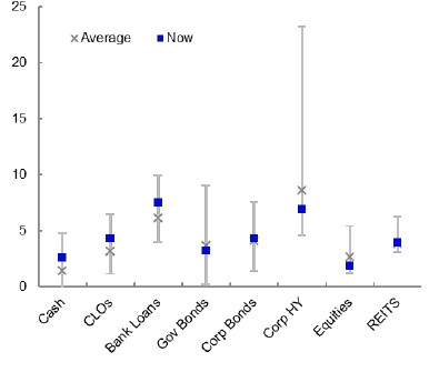
Im weiten Verlauf seines Vortrages analysierte Jackson die fundamentale Bewertung der wichtigsten Asseklassen über einen Vergleich ihrer aktuellen Rendite und ihrer historischen Durchschnittsrendite. Conclusio: Während risikobehaftete Segmente wie Aktien (insbesondere jene aus den USA), REITS oder High Yield Bonds Investoren derzeit unterdurchschnittliche Renditen bieten, gelten auf der anderen Seite „Cash“, Staatsanleihen, CLOs und insbesondere Bank Loans als attraktiver bewertet. Siehe nachfolgende Grafik:
Renditevergleich

Teure und günstige Aktienmärkte
Jackson verglich in Folge anhand der Kennzahl „CAPE“ (Cyclically Adjusted Price/Earnings) über einen Betrachtungszeitraum von zehn Jahren die durchschnittlichen, fundamentalen Bewertungen einzelner Weltregionen. „Wer US-Aktien kauft, kauft sehr teuer“, erklärte Jackson mit Blick auf historisch hohe Bewertungen in den USA. Relativ teuer ist auch Indien. Günstig ist Japan und vor allem China. „Chinesische Aktien sind noch immer billiger wie in der Vergangenheit“, betonte Jackson.
Bei US-Aktien liefert auch das „Shiller KGV“ ein Warnsignal: Wenn dieses ein Niveau von 40 oder mehr erreicht, waren zumindest in der Vergangenheit in den Folgejahren die Renditen am Aktienmarkt äußerst bescheiden. Zuletzt erreichte der US-Aktienmarkt diesbezüglich ein Niveau von knapp 40 und liegt damit höher als 1929, kurz vor Platzen der damaligen Blase, aber noch unter den Euphorie-Werten von 2000, bevor auch diese Blase platzte…
Bei den Rohstoffen notieren Edelmetalle als Gruppe (insbesondere Gold), aber auch Bitcoin, mehrere „Standardabweichungen“ über ihren historischen Durchschnitten und gelten damit als teuer. Relativ günstig ist Energie und dort vor allem Öl. Bei den Währungen erachtet Jackson den US-Dollar, den Schweizer Franken und den chinesischen Yen als relativ teuer, während der kanadische Dollar und insbesondere der japanische Yen als unterbewertet gelten. „Wir glauben, dass der Yen große Aufwärtspotenzial hat“, erklärte Jackson.
Empfehlung: Barbell-Ansatz
Jackson geht davon aus, dass zukünftig die Zinsen in den USA tendenziell sinken und die globale Wirtschaft sich erholen wird. Das sollte offensiven, also riskanteren Assetklassen Rückenwind geben. Angesichts diverser Risiken sollten Investoren in ihren Portfolios aber keinesfalls die „Defensive“ vernachlässigen. „Wir empfehlen daher einen Barbell-Ansatz, da die besten Renditen jeweils an den äußeren Enden des Volatilitätsspektrums geboten werden“, erklärte Jackson. „Wir favorisieren eine ausgewogene Mischung an CLOs, Bank Loans, Globale-Aktien ex-USA, REITS und Industriemetallen“, ergänzte Jackson abschließend. (aa)
Ertrags-Risiko-Einschätzungen für globale Assets für das Jahr 2026

